Skip to contents

We can use this package to replicate and extend the Unified Democracy Scores of Pemstein, Meserve, and Melton (2010) (which are no longer being updated or maintained), and in general to calculate latent variable indexes of democracy.1 This article is a modified version of the vignette for my package QuickUDS, which I am no longer actively maintaining; I am slowly migrating the functions in that package to this package to avoid having to update two different data sets of democracy measures.

You will need the package mirt (Chalmers 2012), which can quickly compute full-information factor analyses.

The basic procedure for replicating or extending the UD scores is very simple.

  1. Generate a dataset of democracy scores with a call to generate_democracy_scores_dataset();
  2. Prepare the democracy data using the convenience function prepare_democracy_data();
  3. Fit a simple mirt model;
  4. Extract the calculated scores with a call to democracy_scores() or to mirt::fscores().

Preparing your democracy measures

The first step is to prepare the democracy measures for use with mirt. I focus first on replicating the 2011 release of the UDS, and then explain how to extend and augment these scores.

In order to replicate the original UD scores, we need to use PMM’s replication dataset (Pemstein, Meserve, and Melton 2013). This dataset is included this package: we just need to generate a data frame of democracy scores from all the datasets with names ending in _pmm. We can then use the function prepare_democracy_data() to put the data in the right format for use with mirt.

Code

library(mirt)
library(tidyverse)
library(democracyData)

identifiers <- c("extended_country_name", "GWn", "cown", "in_GW_system", "year")

democracy_data <- generate_democracy_scores_dataset(
  selection = "_pmm",
  exclude_pmm_duplicates = FALSE, 
  output_format = "wide") 

Before transformation by prepare_democracy_data(), the data looks like this:

Code
skimr::skim(democracy_data |> select(matches("pmm")))
Data summary
Name select(democracy_data, ma…
Number of rows 9137
Number of columns 12
_______________________
Column type frequency:
numeric 12
________________________
Group variables None

Variable type: numeric

skim_variable n_missing complete_rate mean sd p0 p25 p50 p75 p100 hist
pmm_arat 5264 0.42 73.20 18.91 29 58.00 69.00 92.00 109 ▂▇▇▅▆
pmm_blm 8862 0.03 0.36 0.41 0 0.00 0.00 0.50 1 ▇▁▃▁▃
pmm_bollen 8627 0.06 55.46 33.70 0 22.84 53.59 90.95 100 ▅▅▃▂▇
pmm_fh 2699 0.70 4.15 2.07 1 2.50 4.00 6.00 7 ▆▅▃▃▇
pmm_hadenius 9008 0.01 4.51 3.56 0 1.50 3.10 8.30 10 ▇▅▁▂▆
pmm_mainwaring 8302 0.09 0.12 0.85 -1 -1.00 0.00 1.00 1 ▆▁▅▁▇
pmm_munck 8795 0.04 0.84 0.26 0 0.75 1.00 1.00 1 ▁▁▂▂▇
pmm_pacl 70 0.99 0.44 0.50 0 0.00 0.00 1.00 1 ▇▁▁▁▆
pmm_polity 1087 0.88 0.13 7.50 -10 -7.00 -1.00 8.00 10 ▇▂▂▂▆
pmm_polyarchy 8784 0.04 6.33 3.51 0 3.00 7.00 10.00 10 ▅▂▃▃▇
pmm_prc 3135 0.66 2.15 1.37 1 1.00 1.00 4.00 4 ▇▁▁▂▅
pmm_vanhanen 172 0.98 11.31 12.67 0 0.00 5.90 20.70 49 ▇▂▂▂▁

After transformation, it looks like this:

Code
democracy_data_transformed <- prepare_democracy_data(democracy_data)

skimr::skim(democracy_data_transformed |> select(matches("pmm")))
Data summary
Name select(democracy_data_tra…
Number of rows 9137
Number of columns 12
_______________________
Column type frequency:
numeric 12
________________________
Group variables None

Variable type: numeric

skim_variable n_missing complete_rate mean sd p0 p25 p50 p75 p100 hist
pmm_arat 5264 0.42 3.88 1.91 1 2.0 3.0 6.0 7 ▇▆▃▃▇
pmm_blm 8862 0.03 1.72 0.82 1 1.0 1.0 2.0 3 ▇▁▃▁▃
pmm_bollen 8627 0.06 6.01 3.23 1 3.0 6.0 10.0 10 ▅▅▃▂▇
pmm_fh 2699 0.70 7.30 4.13 1 4.0 7.0 11.0 13 ▆▅▃▃▇
pmm_hadenius 9008 0.01 4.51 3.56 0 1.5 3.1 8.3 10 ▇▅▁▂▆
pmm_mainwaring 8302 0.09 2.12 0.85 1 1.0 2.0 3.0 3 ▆▁▅▁▇
pmm_munck 8795 0.04 3.33 0.96 1 3.0 4.0 4.0 4 ▁▂▁▂▇
pmm_pacl 70 0.99 1.44 0.50 1 1.0 1.0 2.0 2 ▇▁▁▁▆
pmm_polity 1087 0.88 11.13 7.50 1 4.0 10.0 19.0 21 ▇▂▂▂▆
pmm_polyarchy 8784 0.04 7.33 3.51 1 4.0 8.0 11.0 11 ▅▂▃▃▇
pmm_prc 3135 0.66 2.15 1.37 1 1.0 1.0 4.0 4 ▇▁▁▂▅
pmm_vanhanen 172 0.98 2.94 2.34 1 1.0 2.0 5.0 8 ▇▁▂▁▂

The function prepare_democracy_data() gets rid of “empty rows” (country-years that have no measurements of democracy for the chosen indexes; such patterns will make mirt fail) and transforms selected democracy indexes into ordinal variables suitable for use with mirt, mostly following the advice in Pemstein, Meserve, and Melton’s original article (2010).

In particular, prepare_democracy_data() will try to do the following on your dataset:

  • If a selected index contains the string arat, the function assumes the index is Arat’s (Arat 1991) 0-109 democracy score, and cuts it into 7 intervals with the following cutoffs: 50, 60, 70, 80, 90, and 100. The resulting score is ordinal from 1 to 8 (following Pemstein, Meserve, and Melton’s advice).

  • If a selected index contains the string bollen, the function assumes the index is Bollen’s (Bollen 2001) 0-100 democracy score, and cuts it into 10 intervals with the following cutoffs: 10,20,30,40,50,60,70,80, and 90. The resulting score is ordinal from 1 to 10 (following Pemstein, Meserve, and Melton’s advice).

  • If a selected index contains the string wgi, the function assumes the index is the World Governance Indicator’s “Voice and Accountability” index (Kaufmann and Kraay 2020). Note that as of the 2025 data release, the WGI team rebuilt the aggregation model and recomputed all estimates back to 1996, so values returned by download_wgi_voice_and_accountability() are not comparable to those used in pre-0.7.0 releases of this package; the prior series is preserved as wgi_legacy. The function cuts the index into 20 categories, producing an ordinal score from 1 to 20.

  • If a selected index contains the string eiu, the function assumes the index is the Economist Intelligence Unit’s democracy index (The Economist Intelligence Unit 2026), and it will cut it into 20 categories. The resulting score is ordinal from 1 to 20.

  • If a selected index contains the string hadenius_pmm, the function assumes the index is Hadenius’s 0-10 democracy score (Hadenius 1992), and it will cut it into 8 intervals with the following cutoffs: 1, 2,3,4, 7, 8, and 9. The resulting score is ordinal from 1 to 8 (following Pemstein, Meserve, and Melton’s advice).

  • If the selected index contains the string munck, the function assumes the index is Munck’s 0-1 democracy score (Munck 2009), and it will cut it into 4 intervals with the following cutoffs: 0.5,0.5,0.75, and 0.99. The resulting score is ordinal from 1 to 4 (following Pemstein, Meserve, and Melton’s advice).

  • If the selected index contains the string peps, the function assumes the index is one of the variants of the Participation-Enhanced Polity Score (Moon et al. 2006), and it will round its value (eliminating the decimal) and then transform it into an ordinal measure from 1 to 21.

  • If the selected index contains the string polity, the function assumes this is the Polity IV or Polity 5 score (Marshall and Gurr 2020; Marshall, Gurr, and Jaggers 2019), and it will thus set any values below -10 to NA and then transform the variable into an ordinal measure from 1 to 21.

  • If the selected index contains the string polyarchy_inclusion_dimension or polyarchy_contestation_dimension, the function assumes this is one of the two dimensions of polyarchy estimated by Coppedge, Alvarez, and Maldonado (2008), and it will cut it into 20 categories. The resulting score is ordinal from 1 to 20.

  • If the selected index contains the string v2x, the function assumes this is one of the v2x_ continuous indexes of democracy from the V-Dem dataset (Coppedge et al. 2026), and it will cut it into 20 categories. The resulting score is ordinal from 1 to 20.

  • If the selected index contains the string csvdmi or svdmi_2016, the function assumes this is one of the continuous indexes of democracy from the SVMDI dataset (Gründler and Krieger 2016, 2018), and it will cut it into 20 categories. The resulting score is ordinal from 1 to 20.

  • If the selected index contains the string bti, the function assumes this is the Bertelsman Transformation Index (Bertelsmann Stiftung 2026), and it will cut it into 20 categories. The resulting score is ordinal from 1 to 20.

  • If the selected index contains the string vanhanen_democratization or vanhanen_pmm, the function assumes this is Vanhanen’s index of democratization (Vanhanen 2019), and it will cut it into 8 intervals with the following cutoffs: 5,10,15,20,25,30, and 35 (following Pemstein, Meserve, and Melton’s advice). The resulting score is ordinal from 1 to 8.

prepare_democracy_data() will also work on column names that contain the following strings:

In each of these cases the function prepare_democracy_data() transforms the values of the scores by running as.numeric(unclass(factor(x))), which transforms each index into ordinal variables from 1 to the number of categories.

If you are using democracy indexes not included in the democracy dataset, or want to use your own custom measures of democracy, or transform them in a very particular way, you simply need to ensure that there are no “blank” country-years in your data (i.e., country-years without any democracy measurements; the package provides the convenience function remove_empty_rows() for this purpose) and that the indexes you are using are ordinal measures from 1 to N with every category present in the data. mirt is pretty flexible and forgiving: it will accept ordinal variables in any range and will attempt to transform your indexes so that every category is within a distance of 1 of its neighboring categories. But it’s useful to have a good sense of what the algorithm is doing to your data before you begin!

Fitting a democracy model

After you’ve prepared the data, you can then fit a model as follows:

Code

replication_2011_model <- mirt(
  democracy_data_transformed |> 
    select(
      matches("pmm")
      ), 
      model = 1,
      itemtype = "graded", SE = TRUE,
      verbose = FALSE
      )
                               

This just tells mirt to fit a one-factor, full information graded response model like that in Pemstein, Meserve, and Melton (2010), and to calculate the standard errors for the coefficients. (See ?mirt for details of the many options you can use to tweak your model, and see my paper for a fuller description of why this model is useful here).

Fitting this model is reasonably fast:

Code
replication_2011_model@time
#> TOTAL:   Data  Estep  Mstep     SE   Post 
#>  5.369  0.314  0.625  3.470  0.929  0.001

We can easily check that this model converges and that it accounts for most of the variance in the democracy indexes:

Code
replication_2011_model
#> 
#> Call:
#> mirt(data = select(democracy_data_transformed, matches("pmm")), 
#>     model = 1, itemtype = "graded", SE = TRUE, verbose = FALSE)
#> 
#> Full-information item factor analysis with 1 factor(s).
#> Converged within 1e-04 tolerance after 146 EM iterations.
#> mirt version: 1.46.1 
#> M-step optimizer: BFGS 
#> EM acceleration: Ramsay 
#> Number of rectangular quadrature: 61
#> Latent density type: Gaussian 
#> 
#> Information matrix estimated with method: Oakes
#> Second-order test: model is a possible local maximum
#> Condition number of information matrix =  89112.81
#> 
#> Log-likelihood = -55716.18
#> Estimated parameters: 97 
#> AIC = 111626.4
#> BIC = 112317; SABIC = 112008.8
summary(replication_2011_model)
#>                   F1    h2
#> pmm_arat       0.901 0.812
#> pmm_blm        0.992 0.985
#> pmm_bollen     0.951 0.904
#> pmm_fh         0.941 0.885
#> pmm_hadenius   0.986 0.972
#> pmm_mainwaring 0.994 0.989
#> pmm_munck      0.955 0.912
#> pmm_pacl       0.967 0.936
#> pmm_polity     0.954 0.911
#> pmm_polyarchy  0.965 0.932
#> pmm_prc        0.969 0.938
#> pmm_vanhanen   0.928 0.861
#> 
#>                 SE.F1
#> pmm_arat       0.0045
#> pmm_blm        0.0030
#> pmm_bollen     0.0066
#> pmm_fh         0.0024
#> pmm_hadenius   0.0050
#> pmm_mainwaring 0.0017
#> pmm_munck      0.0090
#> pmm_pacl       0.0022
#> pmm_polity     0.0018
#> pmm_polyarchy  0.0058
#> pmm_prc        0.0019
#> pmm_vanhanen   0.0024
#> 
#> SS loadings:  11.035 
#> Proportion Var:  0.92 
#> 
#> Factor correlations: 
#> 
#>    F1
#> F1  1

And we can then extract the latent democracy scores, either via mirt::fscore(), or via this package’s convenient wrapper democracy_scores (which returns a tidy dataset with the latent scores and automatically calculates 95% confidence intervals):

Code
replication_2011_scores <-  fscores(replication_2011_model, 
                                    full.scores = TRUE, 
                                    full.scores.SE = TRUE)
# Not a data frame, no country-years:
str(replication_2011_scores)
#>  'matrix' num [1:9137, 1:2] -1.89 -1.89 -1.57 -1.57 -1.45 ...
#>  - attr(*, "dimnames")=List of 2
#>   ..$ : NULL
#>   ..$ : chr [1:2] "F1" "SE_F1"

replication_2011_scores <- democracy_scores(model = replication_2011_model)

replication_2011_scores <- bind_cols(democracy_data, replication_2011_scores)

# A data frame with confidence intervals and country-years:

replication_2011_scores
#> # A tibble: 9,137 × 30
#>    extended_country_name   GWn  cown in_GW_system  year pmm_arat pmm_blm
#>    <chr>                 <dbl> <dbl> <lgl>        <dbl>    <dbl>   <dbl>
#>  1 Afghanistan             700   700 TRUE          1946       NA      NA
#>  2 Afghanistan             700   700 TRUE          1947       NA      NA
#>  3 Afghanistan             700   700 TRUE          1948       54      NA
#>  4 Afghanistan             700   700 TRUE          1949       55      NA
#>  5 Afghanistan             700   700 TRUE          1950       54      NA
#>  6 Afghanistan             700   700 TRUE          1951       55      NA
#>  7 Afghanistan             700   700 TRUE          1952       56      NA
#>  8 Afghanistan             700   700 TRUE          1953       55      NA
#>  9 Afghanistan             700   700 TRUE          1954       56      NA
#> 10 Afghanistan             700   700 TRUE          1955       54      NA
#> # ℹ 9,127 more rows
#> # ℹ 23 more variables: pmm_bollen <dbl>, pmm_fh <dbl>, pmm_hadenius <dbl>,
#> #   pmm_mainwaring <dbl>, pmm_munck <dbl>, pmm_pacl <dbl>, pmm_polity <dbl>,
#> #   pmm_polyarchy <dbl>, pmm_prc <dbl>, pmm_vanhanen <dbl>, z1 <matrix>,
#> #   se_z1 <matrix>, z1_pct975 <matrix>, z1_pct025 <matrix>, z1_adj <matrix>,
#> #   z1_pct975_adj <matrix>, z1_pct025_adj <matrix>, z1_as_prob <matrix>,
#> #   z1_pct975_as_prob <matrix>, z1_pct025_as_prob <matrix>, …

We can check that these scores are, in fact, almost perfectly correlated with Pemstein, Meserve, and Melton’s 2011 UDS release:

Code

uds <- generate_democracy_scores_dataset(
  selection = "uds", 
  output_format = "wide"
  )

replication_2011_scores <- replication_2011_scores |> 
  left_join(uds)

cor(replication_2011_scores |> 
  select(matches("uds_2011"), z1), use = "pairwise")
#>                 uds_2011_mean uds_2011_median        z1
#> uds_2011_mean       1.0000000       0.9999485 0.9996735
#> uds_2011_median     0.9999485       1.0000000 0.9995924
#> z1                  0.9996735       0.9995924 1.0000000

(For more details on the relationship between the original UD scores and the replicated scores produced using this method, see my working paper).

Extending the model

Now suppose you want to create a new latent score derived but want to include other measures, or updated measures, or want to restrict your sources to dichotomous indicators of democracy or a particular set of measures that seem especially reliable.

For example, suppose we want to use:

  • The dichotomous indicator of democracy, adjusted for female suffrage, in version 3.0 of the Boix, Miller and Rosato dataset of political regimes (Boix, Miller, and Rosato 2012)
  • The full extent of the Political Regime Change dataset (Gasiorowski 1996; Reich 2002), Vanhanen’s index of democratization (Vanhanen 2019), Bowman, Lehoucq, and Mahoney’s data on Central America (Bowman, Lehoucq, and Mahoney 2005) and Mainwaring, Brinks and Perez-Linan’s data on Latin America (Mainwaring, Pérez-Liñán, and Brinks 2014), all of which go back to the beginning of the 20th century or before but are not used to their fullest extent in the official UD releases.
  • One of the new V-Dem indexes of democracy, ordinal or continuous (Coppedge et al. 2026)
  • Renske Doorenspleet’s dichotomous indicator of democracy including suffrage info (Doorenspleet 2000)
  • The World Governance Indicator’s latest Voice and Accountability index (note: the WGI was re-estimated under a new methodology in 2025, so current values are not comparable to those used in pre-0.7.0 analyses; the prior series is preserved as wgi_legacy for reproducibility)
  • The archived 2025 release of Freedom House’s data (data through 2024, frozen because Freedom House no longer distributes machine-readable FIW data as a public download), and Polity 5 data through its most recent available update
  • The indicators of democracy in various autocratic regime datasets (Geddes, Wright, and Frantz 2014; Kailitz 2013; Svolik 2012; Wahman, Teorell, and Hadenius 2013)
  • The 7-level Lexical Index of Democracy and Autocracy (Skaaning, Gerring, and Bartusevičius 2015)
  • Jay Ulfelder’s dichotomous indicator of democracy (Ulfelder 2012)

This package makes the process extremely simple:

Code

all_dem <- generate_democracy_scores_dataset(
  output_format = "wide",
  verbose = FALSE
  )


other_dem <- all_dem |>
  select(any_of(identifiers), arat, blm, bmr_democracy_femalesuffrage,
         pmm_bollen, doorenspleet, wgi_democracy, fh_total_reversed, 
         gwf_democracy_extended_strict, pmm_hadenius, kailitz_tri, svolik_democracy, 
         lexical_index, ulfelder_democracy_extended, prc, mainwaring, 
         vanhanen_democratization, v2x_polyarchy)

other_dem <- prepare_democracy_data(other_dem)

extended_model <- mirt(other_dem |> select(-any_of(identifiers)), 
                       model = 1, itemtype = "graded", SE = TRUE, verbose = FALSE)

summary(extended_model)
#>                                  F1    h2
#> arat                          0.962 0.925
#> blm                           0.991 0.982
#> bmr_democracy_femalesuffrage  0.989 0.978
#> pmm_bollen                    0.967 0.934
#> doorenspleet                  0.979 0.959
#> wgi_democracy                 0.974 0.948
#> fh_total_reversed             0.960 0.922
#> gwf_democracy_extended_strict 0.970 0.941
#> pmm_hadenius                  0.983 0.966
#> kailitz_tri                   0.965 0.932
#> svolik_democracy              0.976 0.952
#> lexical_index                 0.969 0.938
#> ulfelder_democracy_extended   0.980 0.960
#> prc                           0.986 0.972
#> mainwaring                    0.986 0.972
#> vanhanen_democratization      0.944 0.892
#> v2x_polyarchy                 0.980 0.961
#> 
#>                                 SE.F1
#> arat                          0.00172
#> blm                           0.00211
#> bmr_democracy_femalesuffrage  0.00072
#> pmm_bollen                    0.00392
#> doorenspleet                  0.00134
#> wgi_democracy                 0.00102
#> fh_total_reversed             0.00109
#> gwf_democracy_extended_strict 0.00162
#> pmm_hadenius                  0.00431
#> kailitz_tri                   0.00130
#> svolik_democracy              0.00145
#> lexical_index                 0.00073
#> ulfelder_democracy_extended   0.00117
#> prc                           0.00071
#> mainwaring                    0.00135
#> vanhanen_democratization      0.00129
#> v2x_polyarchy                 0.00047
#> 
#> SS loadings:  16.134 
#> Proportion Var:  0.949 
#> 
#> Factor correlations: 
#> 
#>    F1
#> F1  1

extended_scores <- democracy_scores(model = extended_model)

extended_scores <- bind_cols(
  other_dem |>
    select(any_of(identifiers)),
  extended_scores
  )

extended_scores <- extended_scores |>
  left_join(
    uds |> 
      select(any_of(identifiers), 
      matches("_mean")))

mirt will stop by default after 500 EM cycles, but some models will take longer to converge. If your model has not converged after 500 iterations of the algorithm, you can try increasing the number of cycles with the technical option. Use ?mirt for more details.

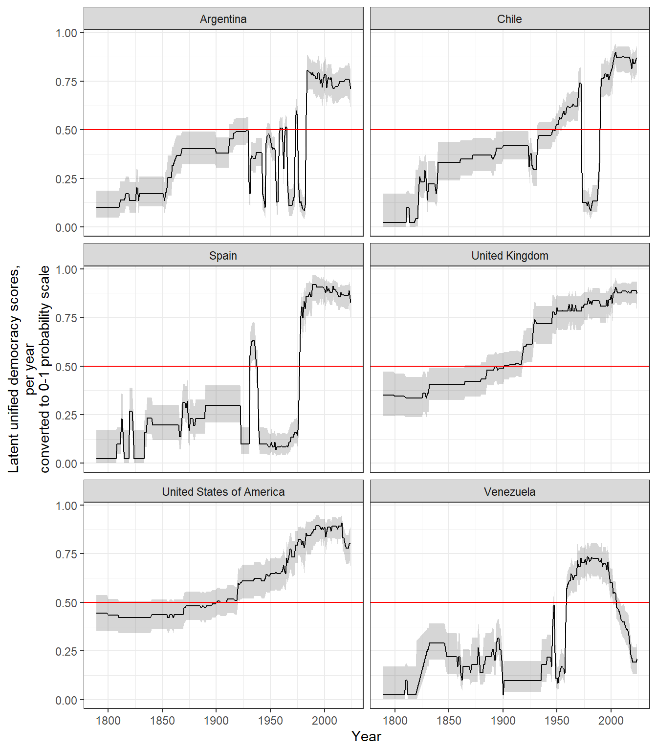
One important point to note about latent variable democracy scores is that they are normalized with mean zero and standard deviation one, so a score of 1 just means that the country-year is 1 standard deviation more democratic than the average country-year in the sample. But this means that adding extra country-years to our model will typically result in scores that have a higher mean (though usually smaller standard errors) than the original UD model, given that the world has become substantially more democratic over the last two centuries:

Code
countries <- c("United States of America",
               "United Kingdom","Argentina",
               "Chile","Venezuela","Spain")

data <- extended_scores |> 
  filter(extended_country_name %in% countries) |>
  tidyr::gather(measure, zscore, uds_2014_mean, z1) |>
  filter(!is.na(zscore), year >=1946, year < 2008) |>
  mutate(measure = case_when(
    measure == "uds_2010_mean" ~ "2010 release of UDS",
    measure == "uds_2011_mean" ~ "2011 release of UDS",
    measure == "uds_2014_mean" ~ "2014 release of UDS",
    measure == "z1_matched" ~ "Extended replication score",
    TRUE ~ measure
    )
)

ggplot(data = data, 
       aes(x = year, y = zscore, color = measure)) + 
  geom_path() + 
  theme_bw() + 
  labs(x = "Year", y = "Latent unified democracy scores,\nper year")  + 
  theme(legend.position="bottom") + 
  guides(color = guide_legend(ncol = 1),fill = guide_legend(nrow = 1)) + 
  facet_wrap(~extended_country_name, ncol = 2)  
Figure 1: Extended replication scores vs. the 2014 UDS release, for selected countries (1946-2008).

If necessary, one can therefore “match” the extended scores to the official UD release by substracting the mean of the extended scores for the period of the UD release one wants to match from the extended scores (that is, making the mean of the extended scores equal to zero for the period of adjustment):

Code
matched_data <- extended_scores |>
  filter(!is.na(uds_2014_mean)) |>
  mutate(z1_matched = z1 - mean(z1, na.rm = TRUE), 
         z1_pct975_matched = z1_pct975 - mean(z1, na.rm = TRUE), 
         z1_pct025_matched = z1_pct025 - mean(z1, na.rm = TRUE))

matched_data <- matched_data |> 
  filter(extended_country_name %in% countries) |>
  tidyr::gather(measure, zscore, uds_2014_mean, z1_matched) |>
  filter(!is.na(zscore), year >=1946, year < 2008) |>
  mutate(measure = case_when(
    measure == "uds_2010_mean" ~ "2010 release of UDS",
    measure == "uds_2011_mean" ~ "2011 release of UDS",
    measure == "uds_2014_mean" ~ "2014 release of UDS",
    measure == "z1_matched" ~ "Matched extended replication score",
    TRUE ~ measure
    ))

ggplot(data = matched_data, 
       aes(x = year, y = zscore, color = measure)) + 
  geom_path() + 
  theme_bw() + 
  labs(x = "Year", y = "Latent unified democracy scores,\nper year")  + 
  theme(legend.position="bottom") + 
  guides(color = guide_legend(ncol=1),fill = guide_legend(nrow=1)) + 
  facet_wrap(~extended_country_name,ncol=2)  
Figure 2: Extended replication scores, mean-adjusted to match the 2014 UDS release period, for selected countries.

In the graph above, we can see that the 2014 release of the UDS seems to overestimate the degree of democracy in the USA in the early decades of 1950 relative to the “extended” scores.

These scores have a more natural interpretation when transformed to a 0-1 index using the cumulative distribution function as the “probability that a country-year is democratic” (so the 0 is now a natural minimum, and 1 a natural maximum). These indexes are automatically produced by the function democracy_scores; they are in the column z1_as_prob of the output, and are produced by applying the pnorm function to z1, as follows:

Code
extended_scores <- extended_scores |> 
  mutate(index = pnorm(z1), 
         index_pct025 = pnorm(z1_pct025), 
         index_pct975 = pnorm(z1_pct975))

# These are equal to z1_as_prob, which is automatically calculated:

extended_scores |> filter(index != z1_as_prob)
#> # A tibble: 0 × 24
#> # ℹ 24 variables: extended_country_name <chr>, GWn <dbl>, cown <dbl>,
#> #   in_GW_system <lgl>, year <dbl>, z1 <matrix>, se_z1 <matrix>,
#> #   z1_pct975 <matrix>, z1_pct025 <matrix>, z1_adj <matrix>,
#> #   z1_pct975_adj <matrix>, z1_pct025_adj <matrix>, z1_as_prob <matrix>,
#> #   z1_pct975_as_prob <matrix>, z1_pct025_as_prob <matrix>,
#> #   z1_adj_as_prob <matrix>, z1_pct975_adj_as_prob <matrix>,
#> #   z1_pct025_adj_as_prob <matrix>, uds_2010_mean <dbl>, uds_2011_mean <dbl>, …

It is also possible to to set the cutpoint for this index at, for example, the average cutpoint in the latent variable of the dichotomous indexes of democracy (so that 0.5 correponds more naturally to the point at which a regime could be either democratic or non-democratic according to the dichotomous measures of democracy included in your model). These scores are also automatically calculated (they are in the column z1_adj) but they can also be manually added as follows:

Code
cutpoints_extended <- cutpoints(extended_model)

cutpoints_extended
#> # A tibble: 101 × 6
#>    variable                     estimate pct025 pct975      se num_obs
#>    <chr>                           <dbl>  <dbl>  <dbl>   <dbl>   <int>
#>  1 arat                           -0.518 -0.522 -0.513 0.00246    3873
#>  2 arat                           -0.190 -0.203 -0.177 0.00693    3873
#>  3 arat                            0.239  0.206  0.275 0.0186     3873
#>  4 arat                            0.525  0.471  0.584 0.0302     3873
#>  5 arat                            0.908  0.822  1.00  0.0479     3873
#>  6 arat                            1.69   1.54   1.86  0.0837     3873
#>  7 blm                             0.479  0.300  0.762 0.144       505
#>  8 blm                             1.06   0.674  1.67  0.312       505
#>  9 bmr_democracy_femalesuffrage    0.841  0.741  0.955 0.0581    19126
#> 10 pmm_bollen                     -0.649 -0.658 -0.637 0.00604     510
#> # ℹ 91 more rows

dichotomous_cutpoints <- cutpoints_extended |> 
  group_by(variable) |>
  filter(n() == 1) 

dichotomous_cutpoints
#> # A tibble: 5 × 6
#> # Groups:   variable [5]
#>   variable                      estimate pct025 pct975     se num_obs
#>   <chr>                            <dbl>  <dbl>  <dbl>  <dbl>   <int>
#> 1 bmr_democracy_femalesuffrage     0.841  0.741  0.955 0.0581   19126
#> 2 doorenspleet                     0.925  0.815  1.05  0.0638   13009
#> 3 gwf_democracy_extended_strict    0.663  0.590  0.744 0.0417    9243
#> 4 svolik_democracy                 0.720  0.635  0.816 0.0491    8554
#> 5 ulfelder_democracy_extended      0.711  0.630  0.802 0.0464   11545

avg_dichotomous <- mean(dichotomous_cutpoints$estimate)

avg_dichotomous
#> [1] 0.7720065

extended_scores <- extended_scores |> mutate(adj_z1 = z1 - avg_dichotomous, 
                                        adj_pct025 = z1_pct025 - avg_dichotomous, 
                                        adj_pct975 =z1_pct975 - avg_dichotomous,
                                        index = pnorm(adj_z1),
                                        index_pct025 = pnorm(adj_pct025),
                                        index_pct975 = pnorm(adj_pct975))

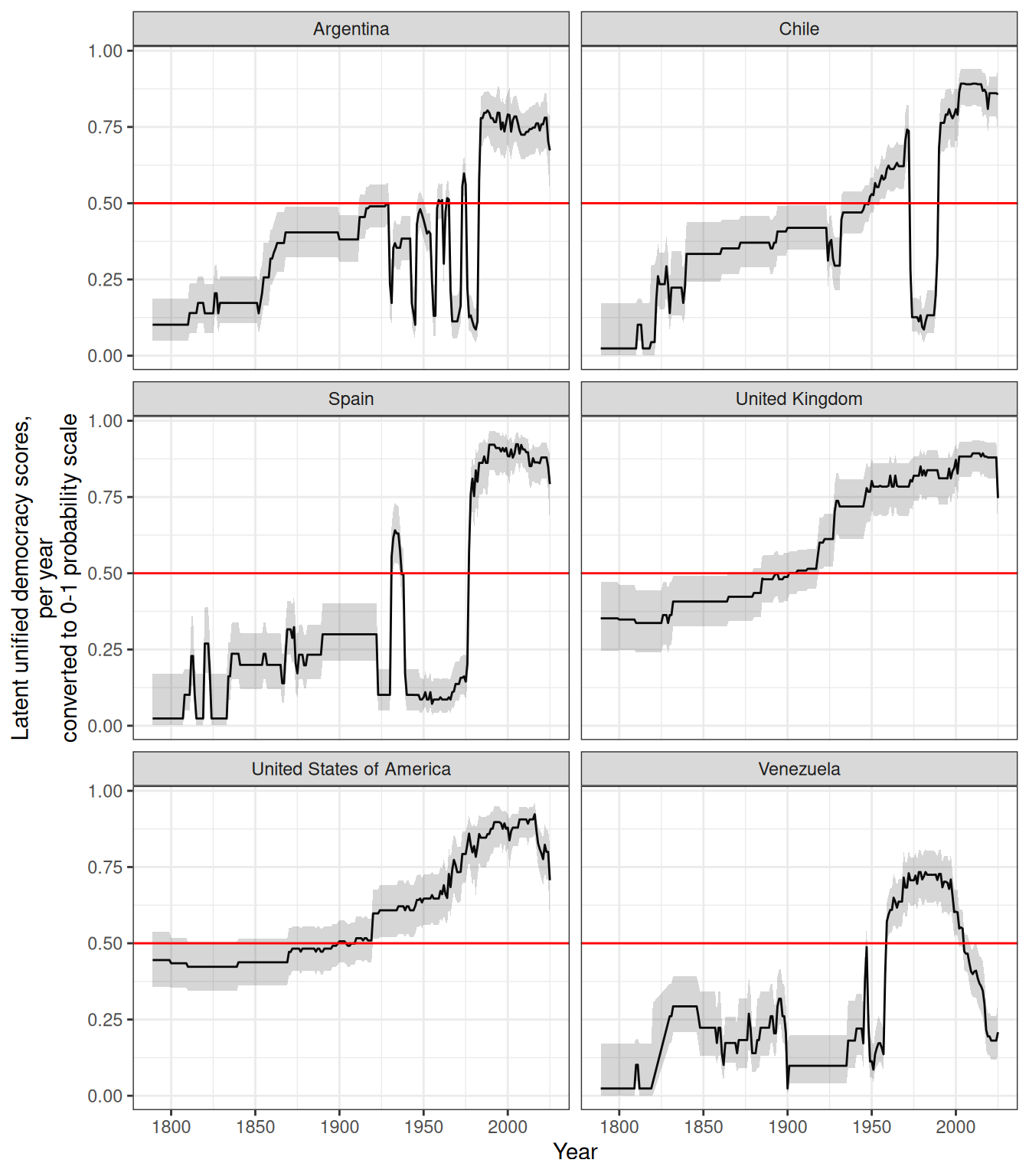
ggplot(data = extended_scores |> filter(extended_country_name %in% countries), 
       aes(x= year, y = index, 
           ymin = index_pct025, ymax = index_pct975)) + 
  geom_line() + 
  geom_ribbon(alpha=0.2) + 
  theme_bw() + 
  labs(x = "Year", y = "Latent unified democracy scores,\nper year\nconverted to 0-1 probability scale")  + 
  theme(legend.position="bottom") + 
  guides(color = guide_legend(ncol=1),fill = guide_legend(nrow=1)) + 
  geom_hline(yintercept=0.5,color="red") +
  facet_wrap(~extended_country_name,ncol=2)  
Figure 3: Extended scores transformed to a 0-1 probability scale, with the cutpoint set at the average cutpoint of the dichotomous rater indicators.

A pre-computed and documented version of the extended UDS scores, with data from all the indexes mentioned above, plus the participation-enhanced Polity Scores of Moon et al. (2006), a trichotomous democracy indicator calculated from Magaloni, Min, and Chu’s “Autocracies of the World” datset (Magaloni, Chu, and Min 2013), a dichotomous democracy indicator calculated from Hsu (2008), the REIGN dataset of Bell (2016), which extends Geddes, Wright, and Frantz (2014), a dichotomous democracy indicator from Acemoglu et al. (2019), the Bertelsmann Transformation index (Bertelsmann Stiftung 2026), the Varieties of Political Regimes dataset (Kailitz 2026) (the 0.7.0 release refreshed VaPoReg to the March 2026 upstream schema; the legacy pre-0.7.0 VaPoReg variables are preserved separately as vaporeg_2024), and an indicator of democracy used by the Political Instability Task Force (Goldstone et al. 2010; Taylor and Ulfelder 2015), is included with the package; it can be loaded by simply typing extended_uds. The extended_uds object shipped with 0.7.0 was rebuilt using the revised WGI and current VaPoReg inputs alongside the other refreshed datasets. Use ?extended_uds to examine the documentation for all its variables, and see my working paper (Marquez 2016) for more detail on the data and its uses.

The function generate_extended_uds() recreates these scores in one line of code, at the cost of some flexibility.

Other Extensions

We can also use this method to create indexes from specific types of scores, such as dichotomous measures of democracy. Here we compute a 2-parameter logistic model from all dichotomous indexes of democracy (excluding near-duplicates):

Code
dichotomous_dem <- all_dem |>
  select(any_of(identifiers), where(~n_distinct(.) <= 3))  |>
  select(-pacl,
         -bmr_democracy_omitteddata, -bmr_democracy,
         -wth_democ1,
         -gwf_democracy_extended, -utip_dichotomous)

dichotomous_dem <- prepare_democracy_data(dichotomous_dem)

dichotomous_model <- mirt(dichotomous_dem |> select(-any_of(identifiers)),
                          model = 1, itemtype = "2PL", SE = TRUE, verbose = FALSE)

summary(dichotomous_model)
#>                                  F1    h2
#> anckar_democracy              0.996 0.992
#> anrr_democracy                0.985 0.971
#> bmr_democracy_femalesuffrage  0.996 0.992
#> bnr_extended                  0.973 0.948
#> doorenspleet                  0.978 0.956
#> fh_electoral                  0.982 0.964
#> gwf_democracy_extended_strict 0.978 0.956
#> kailitz_binary                0.981 0.963
#> magaloni_democracy_extended   0.983 0.966
#> pacl_update                   0.971 0.943
#> PIPE_democracy                0.813 0.660
#> pitf_binary                   0.975 0.951
#> reign_democracy               0.971 0.942
#> dsvmdi                        0.958 0.919
#> svolik_democracy              0.979 0.959
#> ulfelder_democracy_extended   0.979 0.958
#> utip_dichotomous_strict       0.930 0.864
#> vaporeg_binary_strict         0.982 0.964
#> vaporeg_binary_non_strict     0.981 0.962
#> wth_democrobust               0.976 0.953
#> 
#>                                 SE.F1
#> anckar_democracy              0.00050
#> anrr_democracy                0.00118
#> bmr_democracy_femalesuffrage  0.00056
#> bnr_extended                  0.00164
#> doorenspleet                  0.00154
#> fh_electoral                  0.00143
#> gwf_democracy_extended_strict 0.00147
#> kailitz_binary                0.00128
#> magaloni_democracy_extended   0.00119
#> pacl_update                   0.00155
#> PIPE_democracy                0.00538
#> pitf_binary                   0.00130
#> reign_democracy               0.00156
#> dsvmdi                        0.00196
#> svolik_democracy              0.00144
#> ulfelder_democracy_extended   0.00130
#> utip_dichotomous_strict       0.00399
#> vaporeg_binary_strict         0.00156
#> vaporeg_binary_non_strict     0.00098
#> wth_democrobust               0.00176
#> 
#> SS loadings:  18.782 
#> Proportion Var:  0.939 
#> 
#> Factor correlations: 
#> 
#>    F1
#> F1  1

dichotomous_scores <- democracy_scores(dichotomous_model)

dichotomous_scores <- bind_cols(dichotomous_dem |> select(any_of(identifiers)),
                                dichotomous_scores)


ggplot(data = dichotomous_scores |> filter(extended_country_name %in% countries),
       aes(x= year, y = z1_as_prob,
           ymin = z1_pct025_as_prob, ymax = z1_pct975_as_prob)) +
  geom_line() +
  geom_ribbon(alpha=0.2) +
  theme_bw() +
  labs(x = "Year", y = "Latent unified democracy scores,\nper year\nconverted to 0-1 probability scale")  +
  theme(legend.position="bottom") +
  guides(color = guide_legend(ncol=1),fill = guide_legend(nrow=1)) +
  geom_hline(yintercept=0.5,color="red") +
  facet_wrap(~extended_country_name,ncol=2)
Figure 4: Latent democracy scores fit only from dichotomous raters (2-parameter logistic model), on the 0-1 probability scale.

As Gründler and Krieger (2021/05/17/) note, latent variable indexes suffer from arbitrary changes in level related to variables entering into or out of the source data. One way to get around this is to use a panel, with every measure present for every country-year in the panel. For example, suppose we’re interested only in measures with long coverage. Here we select a set of indexes with coverage down to the 19th century and then select the set of rows for which all measures exist, producing a panel with 159 countries and scores from 1919 to 2003.

Code
full_panel <- all_dem |>
  select(any_of(identifiers), reign_democracy, polity2,
         bmr_democracy_femalesuffrage, v2x_polyarchy,
         ulfelder_democracy_extended, bnr_extended, 
         magaloni_democracy_extended, csvmdi, pitf,
         anckar_democracy, PEPS1v, vanhanen_democratization) |>
  rowwise() |>
  mutate(num_nas = sum(is.na(c_across(-any_of(identifiers))))) |>
  filter(num_nas == 0) |>
  ungroup() |>
  select(-num_nas)

full_panel <- prepare_democracy_data(full_panel)

panel_model <- mirt(full_panel |> select(-any_of(identifiers)),
                    model = 1, itemtype = "graded", SE = TRUE, 
                    verbose = FALSE, technical = list(NCYCLES = 1000))

panel_model@time
#> TOTAL:   Data  Estep  Mstep     SE   Post 
#>  8.437  0.056  1.113  6.217  1.022  0.001

summary(panel_model)
#>                                 F1    h2
#> reign_democracy              0.979 0.958
#> polity2                      0.990 0.980
#> bmr_democracy_femalesuffrage 0.984 0.969
#> v2x_polyarchy                0.924 0.854
#> ulfelder_democracy_extended  0.978 0.956
#> bnr_extended                 0.975 0.951
#> magaloni_democracy_extended  0.989 0.979
#> csvmdi                       0.958 0.917
#> pitf                         0.981 0.963
#> anckar_democracy             0.988 0.977
#> PEPS1v                       0.991 0.982
#> vanhanen_democratization     0.949 0.900
#> 
#>                                SE.F1
#> reign_democracy              0.00157
#> polity2                      0.00040
#> bmr_democracy_femalesuffrage 0.00132
#> v2x_polyarchy                0.00203
#> ulfelder_democracy_extended  0.00159
#> bnr_extended                 0.00178
#> magaloni_democracy_extended  0.00110
#> csvmdi                       0.00135
#> pitf                         0.00083
#> anckar_democracy             0.00107
#> PEPS1v                       0.00036
#> vanhanen_democratization     0.00170
#> 
#> SS loadings:  11.386 
#> Proportion Var:  0.949 
#> 
#> Factor correlations: 
#> 
#>    F1
#> F1  1

panel_scores <- democracy_scores(panel_model)

panel_scores <- bind_cols(full_panel |> select(any_of(identifiers)),
                                panel_scores)

skimr::skim(panel_scores)
Figure 5: Latent democracy scores from a panel of long-coverage measures, constrained to country-years with no missing values.
Data summary
Name panel_scores
Number of rows 7058
Number of columns 18
_______________________
Column type frequency:
character 14
logical 1
numeric 3
________________________
Group variables None

Variable type: character

skim_variable n_missing complete_rate min max empty n_unique whitespace
extended_country_name 0 1 4 39 0 158 0
z1 0 1 14 21 0 1625 0
se_z1 0 1 14 18 0 1625 0
z1_pct975 0 1 13 20 0 1625 0
z1_pct025 0 1 14 21 0 1625 0
z1_adj 0 1 15 21 0 1625 0
z1_pct975_adj 0 1 14 20 0 1625 0
z1_pct025_adj 0 1 15 21 0 1625 0
z1_as_prob 0 1 14 18 0 1625 0
z1_pct975_as_prob 0 1 14 18 0 1625 0
z1_pct025_as_prob 0 1 13 19 0 1625 0
z1_adj_as_prob 0 1 15 19 0 1625 0
z1_pct975_adj_as_prob 0 1 13 18 0 1625 0
z1_pct025_adj_as_prob 0 1 15 20 0 1625 0

Variable type: logical

skim_variable n_missing complete_rate mean count
in_GW_system 0 1 1 TRU: 7058

Variable type: numeric

skim_variable n_missing complete_rate mean sd p0 p25 p50 p75 p100 hist
GWn 0 1 455.34 246.18 20 230 451 663 950 ▇▇▇▇▅
cown 0 1 455.33 246.19 20 230 451 663 950 ▇▇▇▇▅
year 0 1 1976.28 18.27 1919 1964 1978 1992 2003 ▁▂▅▇▇
Code

ggplot(data = panel_scores |> filter(extended_country_name %in% countries), 
       aes(x= year, y = z1_as_prob, 
           ymin = z1_pct025_as_prob, ymax = z1_pct975_as_prob)) + 
  geom_line() + 
  geom_ribbon(alpha=0.2) + 
  theme_bw() + 
  labs(x = "Year", y = "Latent unified democracy scores,\nper year\nconverted to 0-1 probability scale")  + 
  theme(legend.position="bottom") + 
  guides(color = guide_legend(ncol=1),fill = guide_legend(nrow=1)) + 
  geom_hline(yintercept=0.5,color="red") +
  facet_wrap(~extended_country_name,ncol=2)
Figure 6: Latent democracy scores from a panel of long-coverage measures, constrained to country-years with no missing values.

Or suppose we’re interested in a particular coverage period, including only measures that have data to 2018:

Code
full_panel <- all_dem |>
  pivot_longer(-any_of(identifiers), values_drop_na = TRUE) |>
  filter(name %in% name[year == 2018]) |>
  filter(year <= 2018) |>
  pivot_wider(id_cols = any_of(identifiers), names_from = "name", values_from = "value") |>
  unnest(fh_total_reversed:eiu) |>
  select(-pitf_binary, -dsvmdi, -polityIV, -polity2IV, 
         -polity,  -vanhanen_competition, 
         -vanhanen_participation) |>
  rowwise() |>
  mutate(num_nas = sum(is.na(c_across(-any_of(identifiers))))) |>
  filter(num_nas == 0) |>
  ungroup() |>
  select(-num_nas)

full_panel <- prepare_democracy_data(full_panel)

panel_model <- mirt(full_panel |> select(-any_of(identifiers)),
                    model = 1, itemtype = "graded", SE = TRUE, 
                    verbose = FALSE, technical = list(NCYCLES = 1000))

panel_model@time
#> TOTAL:   Data  Estep  Mstep     SE   Post 
#> 16.902  0.037  0.786 11.848  4.159  0.001

summary(panel_model)
#>                                 F1    h2
#> fh_total_reversed            0.925 0.856
#> lexical_index                0.936 0.876
#> lexical_index_plus           0.932 0.869
#> v2x_polyarchy                0.998 0.995
#> v2x_libdem                   0.971 0.943
#> v2x_partipdem                0.964 0.930
#> v2x_api                      0.997 0.995
#> v2x_mpi                      0.997 0.994
#> anckar_democracy             0.932 0.868
#> bmr_democracy                0.908 0.825
#> bmr_democracy_femalesuffrage 0.908 0.825
#> bmr_democracy_omitteddata    0.908 0.825
#> pitf                         0.859 0.737
#> polity2                      0.867 0.751
#> vaporeg_binary_strict        0.874 0.765
#> vaporeg_binary_non_strict    0.937 0.878
#> vaporeg_trichotomous         0.923 0.852
#> v2x_delibdem                 0.951 0.904
#> v2x_egaldem                  0.919 0.844
#> csvmdi                       0.886 0.785
#> vanhanen_democratization     0.620 0.385
#> reign_democracy              0.841 0.708
#> pacl_update                  0.815 0.665
#> fh_electoral                 0.937 0.879
#> wgi_democracy                0.911 0.830
#> bti                          0.897 0.805
#> eiu                          0.846 0.716
#> 
#>                                SE.F1
#> fh_total_reversed            0.00486
#> lexical_index                0.00693
#> lexical_index_plus           0.00593
#> v2x_polyarchy                0.00053
#> v2x_libdem                   0.00222
#> v2x_partipdem                0.00242
#> v2x_api                      0.00040
#> v2x_mpi                      0.00043
#> anckar_democracy             0.01013
#> bmr_democracy                0.01233
#> bmr_democracy_femalesuffrage 0.01233
#> bmr_democracy_omitteddata    0.01233
#> pitf                         0.01065
#> polity2                      0.00836
#> vaporeg_binary_strict        0.02094
#> vaporeg_binary_non_strict    0.01082
#> vaporeg_trichotomous         0.00896
#> v2x_delibdem                 0.00331
#> v2x_egaldem                  0.00509
#> csvmdi                       0.00795
#> vanhanen_democratization     0.01849
#> reign_democracy              0.01720
#> pacl_update                  0.01888
#> fh_electoral                 0.01017
#> wgi_democracy                0.00552
#> bti                          0.00640
#> eiu                          0.00898
#> 
#> SS loadings:  22.305 
#> Proportion Var:  0.826 
#> 
#> Factor correlations: 
#> 
#>    F1
#> F1  1

panel_scores <- democracy_scores(panel_model)

panel_scores <- bind_cols(full_panel |> select(any_of(identifiers)),
                                panel_scores)

skimr::skim(panel_scores)
Figure 7: Latent democracy scores from a panel restricted to measures with data through 2018. Holding the set of input raters fixed across the entire window prevents the arbitrary level shifts that Gründler and Krieger (2021/05/17/) flag, at the cost of dropping country-years that fall outside any rater’s coverage.
Data summary
Name panel_scores
Number of rows 832
Number of columns 18
_______________________
Column type frequency:
character 14
logical 1
numeric 3
________________________
Group variables None

Variable type: character

skim_variable n_missing complete_rate min max empty n_unique whitespace
extended_country_name 0 1 4 39 0 129 0
z1 0 1 14 21 0 792 0
se_z1 0 1 15 18 0 792 0
z1_pct975 0 1 14 20 0 792 0
z1_pct025 0 1 13 20 0 792 0
z1_adj 0 1 14 20 0 792 0
z1_pct975_adj 0 1 14 20 0 792 0
z1_pct025_adj 0 1 13 19 0 792 0
z1_as_prob 0 1 15 19 0 792 0
z1_pct975_as_prob 0 1 14 18 0 792 0
z1_pct025_as_prob 0 1 15 19 0 792 0
z1_adj_as_prob 0 1 14 19 0 792 0
z1_pct975_adj_as_prob 0 1 14 18 0 792 0
z1_pct025_adj_as_prob 0 1 13 19 0 792 0

Variable type: logical

skim_variable n_missing complete_rate mean count
in_GW_system 0 1 1 TRU: 832

Variable type: numeric

skim_variable n_missing complete_rate mean sd p0 p25 p50 p75 p100 hist
GWn 0 1 483.69 226.96 40 355 500 690 910 ▆▆▇▇▅
cown 0 1 483.69 226.96 40 355 500 690 910 ▆▆▇▇▅
year 0 1 2012.06 4.02 2006 2008 2012 2016 2018 ▇▃▃▃▇
Code

ggplot(data = panel_scores |> filter(extended_country_name %in% countries), 
       aes(x= year, y = z1_as_prob, 
           ymin = z1_pct025_as_prob, ymax = z1_pct975_as_prob)) + 
  geom_line() + 
  geom_ribbon(alpha=0.2) + 
  theme_bw() + 
  labs(x = "Year", y = "Latent unified democracy scores,\nper year\nconverted to 0-1 probability scale")  + 
  theme(legend.position="bottom") + 
  guides(color = guide_legend(ncol=1),fill = guide_legend(nrow=1)) + 
  geom_hline(yintercept=0.5,color="red") +
  facet_wrap(~extended_country_name,ncol=2)
Figure 8: Latent democracy scores from a panel restricted to measures with data through 2018. Holding the set of input raters fixed across the entire window prevents the arbitrary level shifts that Gründler and Krieger (2021/05/17/) flag, at the cost of dropping country-years that fall outside any rater’s coverage.

Extracting useful information from a model

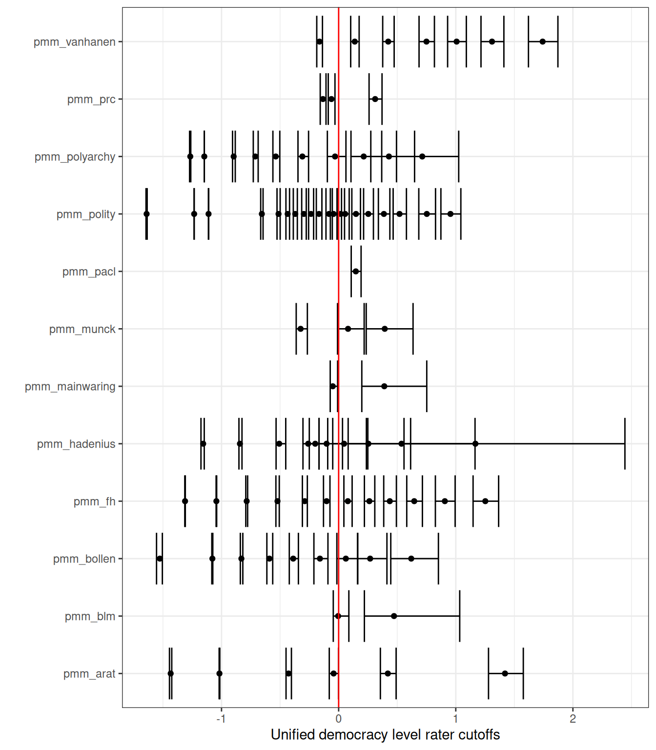
The mirt package offers a great number of powerful tools to examine and diagnose the fitted model, including functions to extract model cutpoints and item information curves. But this package also contains two convenience functions that wrap mirt tools to quickly extract democracy rater discrimination parameters, rater cutoffs, and rater information curves from a model produced by this procedure in a tidy data frame format suitable for graphing. Here, for example, we can replicate the figures in PMM’s original paper:

Code
replication_2011_cutpoints <- cutpoints(replication_2011_model, type ="score")
replication_2011_cutpoints
#> # A tibble: 85 × 6
#>    variable   estimate  pct025   pct975      se num_obs
#>    <chr>         <dbl>   <dbl>    <dbl>   <dbl>   <int>
#>  1 pmm_arat   -1.43    -1.42   -1.44    0.00526    3873
#>  2 pmm_arat   -1.02    -1.02   -1.01    0.00149    3873
#>  3 pmm_arat   -0.427   -0.449  -0.403   0.0123     3873
#>  4 pmm_arat   -0.0428  -0.0801 -0.00145 0.0211     3873
#>  5 pmm_arat    0.420    0.356   0.491   0.0361     3873
#>  6 pmm_arat    1.42     1.28    1.58    0.0797     3873
#>  7 pmm_blm    -0.00455 -0.0459  0.0871  0.0468      275
#>  8 pmm_blm     0.473    0.220   1.03    0.286       275
#>  9 pmm_bollen -1.53    -1.51   -1.55    0.0145      510
#> 10 pmm_bollen -1.08    -1.07   -1.08    0.00244     510
#> # ℹ 75 more rows

# We plot the "normalized" cutpoints ("estimate," in the same scale as the latent scores), 
# not the untransformed ones ("par")

ggplot(data = replication_2011_cutpoints, 
       aes(x = variable, y = estimate, 
           ymin = pct025, ymax = pct975))  + 
  theme_bw() + 
  labs(x="",y="Unified democracy level rater cutoffs") + 
  geom_point() + 
  geom_errorbar() + 
  geom_hline(yintercept =0, color="red") + 
  coord_flip()

# We can also plot discrimination parameters, which are in a different scale:
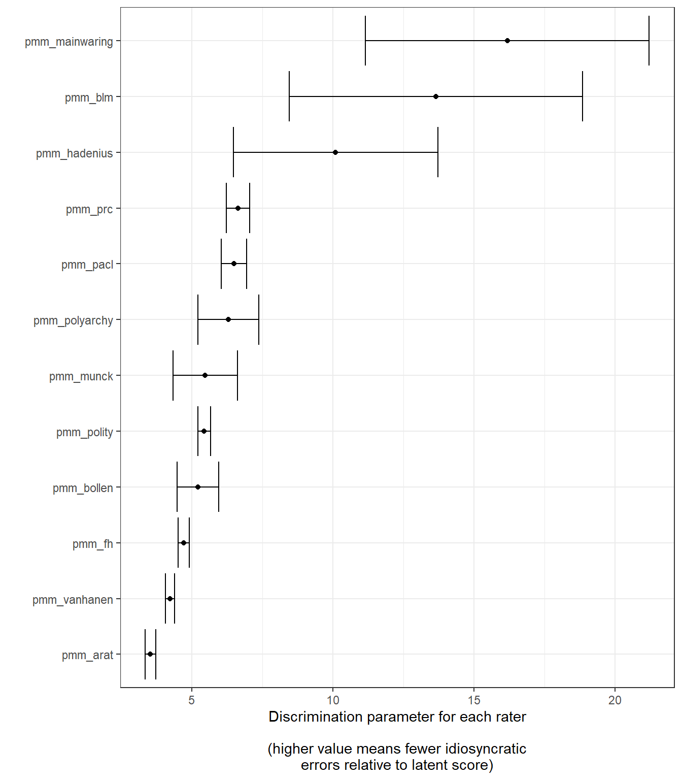
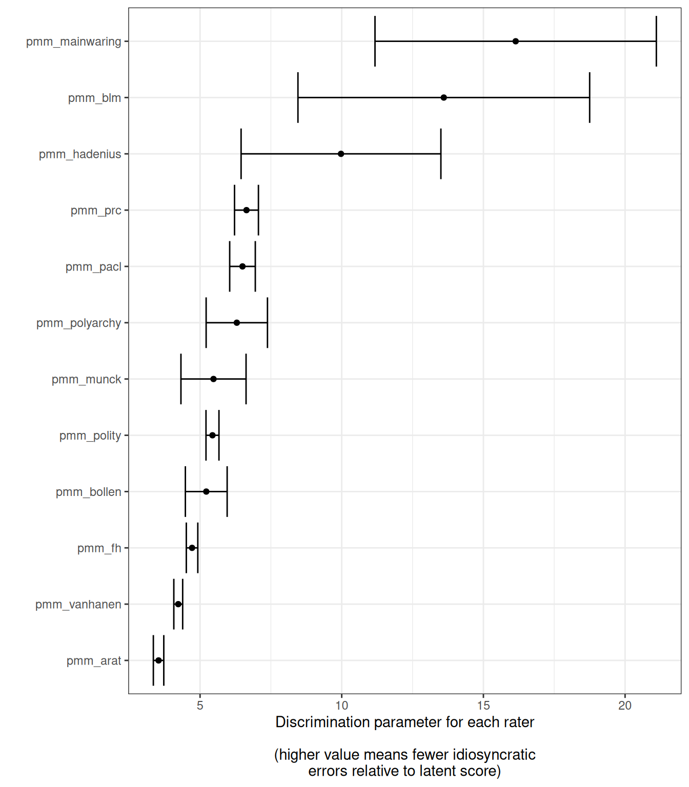
replication_2011_discrimination <- cutpoints(replication_2011_model, 
                                             type ="discrimination")

replication_2011_discrimination
#> # A tibble: 12 × 5
#>    variable       estimate pct025 pct975 num_obs
#>    <chr>             <dbl>  <dbl>  <dbl>   <int>
#>  1 pmm_arat           3.54   3.35   3.72    3873
#>  2 pmm_blm           13.6    8.45  18.8      275
#>  3 pmm_bollen         5.22   4.48   5.96     510
#>  4 pmm_fh             4.72   4.51   4.92    6438
#>  5 pmm_hadenius       9.97   6.45  13.5      129
#>  6 pmm_mainwaring    16.1   11.2   21.1      835
#>  7 pmm_munck          5.47   4.33   6.62     342
#>  8 pmm_pacl           6.50   6.05   6.95    9067
#>  9 pmm_polity         5.44   5.21   5.67    8050
#> 10 pmm_polyarchy      6.30   5.21   7.38     353
#> 11 pmm_prc            6.64   6.22   7.06    6002
#> 12 pmm_vanhanen       4.23   4.07   4.39    8965

ggplot(data = replication_2011_discrimination, 
       aes(x=reorder(variable,estimate),
           y = estimate, ymin = pct025, 
           ymax = pct975))  + 
  theme_bw() + 
  labs(x="",y="Discrimination parameter for each rater
       \n(higher value means fewer idiosyncratic\nerrors relative to latent score)") + 
  geom_point() + 
  geom_errorbar() + 
  coord_flip()

# And we can plot item information curves for each rater:
replication_2011_info <- raterinfo(replication_2011_model)
replication_2011_info
#> # A tibble: 732 × 3
#>    rater    theta       info
#>    <chr>    <dbl>      <dbl>
#>  1 pmm_arat  -6   0.00000122
#>  2 pmm_arat  -5.8 0.00000247
#>  3 pmm_arat  -5.6 0.00000501
#>  4 pmm_arat  -5.4 0.0000102 
#>  5 pmm_arat  -5.2 0.0000206 
#>  6 pmm_arat  -5   0.0000418 
#>  7 pmm_arat  -4.8 0.0000848 
#>  8 pmm_arat  -4.6 0.000172  
#>  9 pmm_arat  -4.4 0.000349  
#> 10 pmm_arat  -4.2 0.000707  
#> # ℹ 722 more rows

ggplot(data = replication_2011_info, aes(x=theta,y=info)) + 
  geom_path() + 
  facet_wrap(~rater) + 
  theme_bw() + 
  labs(x="Latent democracy score",y = "Information") + 
  theme(legend.position="bottom")
Figure 9: Rater cutoffs, discrimination parameters, and item information curves for each democracy measure used in the 2011 UDS replication model.
Figure 10: Rater cutoffs, discrimination parameters, and item information curves for each democracy measure used in the 2011 UDS replication model.
Figure 11: Rater cutoffs, discrimination parameters, and item information curves for each democracy measure used in the 2011 UDS replication model.

Finally, the package offers a simple function to estimate the probability that a given country is more democratic than another in a given year, accounting for the uncertainty in the UD-style measures. For example, suppose we want to know the probability that the USA was more democratic than France in the year 2000 for both the replicated 2011 scores and our extended model:

Code
prob_more(replication_2011_scores, "United States of America","France", 2000)
#> [1] 0.8782654
prob_more(extended_scores, "United States of America","France", 2000)
#> [1] 0.5778274

Or perhaps we wish to know the probability that the United States was more democratic in the year 2000 than in the year 1953:

Code
prob_more(replication_2011_scores, 
          "United States of America",
          "United States of America", 
          c(2000,1953))
#> [1] 0.9179056
prob_more(extended_scores, 
          "United States of America",
          "United States of America", 
          c(2000,1953))
#> [1] 0.9999968

When to use which score

The four latent-variable indexes in this article have different uses:

  • Replication score (replication_2011_model above): you would only use this if you need to reproduce a published analysis that relied on the 2010 or 2011 UDS release. For new work, the original UDS is now out of date. You can at any rate use the archived uds_2010, uds_2011, or uds_2014 objects in this package.
  • extended_uds (the precomputed object shipped with the package): the right default for most users. It uses the widest set of contemporary raters, including the refreshed VaPoReg and the rebuilt WGI, and covers the longest country-year span. Use this when you want a single democracy score for a panel of countries and years and don’t have a specific reason to prefer something else.
  • Dichotomous-only score: use when you want a latent score that depends only on the strict “is this regime a democracy?” judgments – e.g., when an analysis pairs a continuous measure with a regime-classification literature (Boix-Miller-Rosato, Cheibub-Gandhi-Vreeland, Geddes-Wright-Frantz, etc.). It avoids the implicit weighting that more graded indexes (Polity, V-Dem) impose.
  • Fixed panel (the long-coverage and 2018-coverage panels above): use when level comparability over time matters more than coverage – for instance, when documenting a trend in democracy over the 20th century. As Gründler and Krieger (2021/05/17/) note, latent scores built from changing rater sets can show artefactual level shifts at the points where new raters enter; holding the rater panel fixed eliminates those shifts at the cost of dropping country-years that no longer have full coverage.

If you are unsure, start with extended_uds and switch to a fixed panel only if you can see the rater-entry artefacts contaminating your time series.

References

Acemoglu, Daron, Suresh Naidu, Pascual Restrepo, and James A. Robinson. 2019. “Democracy Does Cause Growth.” Journal of Political Economy 127(1): 47–100. doi:10.1086/700936.
Anckar, Carsten, and Cecilia Fredriksson. 2018. “Classifying Political Regimes 1800–2016: A Typology and a New Dataset.” European Political Science 18(1): 84–96. doi:10.1057/s41304-018-0149-8.
Arat, Zehra F. 1991. Democracy and Human Rights in Developing Countries. Boulder: Lynne Rienner Publishers.
Bell, Curtis. 2016. “The Rulers, Elections, and Irregular Governance Dataset (REIGN).” https://oefdatascience.github.io/REIGN.github.io/.
Bertelsmann Stiftung. 2026. Transformation Index BTI 2026: Governance in International Comparison. Gütersloh: Bertelsmann Stiftung. Report. https://www.bertelsmann-stiftung.de/en/publications/publication/did/transformation-index-bti-2026.
Boix, Carles, Michael Miller, and Sebastian Rosato. 2012. “A Complete Data Set of Political Regimes, 1800–2007.” Comparative Political Studies 46(12): 1523–54. doi:10.1177/0010414012463905.
Bollen, Kenneth A. 2001. “Cross-National Indicators of Liberal Democracy, 1950-1990.” doi:10.3886/ICPSR02532.v2.
Bowman, Kirk, Fabrice Lehoucq, and James Mahoney. 2005. “Measuring Political Democracy: Case Expertise, Data Adequacy, and Central America.” Comparative Political Studies 38(8): 939–70. doi:10.1177/0010414005277083.
Chalmers, R. Philip. 2012. “Mirt: A Multidimensional Item Response Theory Package for the R Environment.” Journal of Statistical Software 48(6): 1–29. doi:10.18637/jss.v048.i06.
Cheibub, José Antonio, Jennifer Gandhi, and James Raymond Vreeland. 2009. “Democracy and Dictatorship Revisited.” Public Choice 143(1–2): 67–101. doi:10.1007/s11127-009-9491-2.
Coppedge, Michael, Angel Alvarez, and Claudia Maldonado. 2008. “Two Persistent Dimensions of Democracy: Contestation and Inclusiveness.” The journal of politics 70(03): 632–47. doi:10.1017/S0022381608080663.
Coppedge, Michael, John Gerring, Carl Henrik Knutsen, Staffan I. Lindberg, Jan Teorell, David Altman, Fabio Angiolillo, et al. 2026. V-Dem Codebook V16. Varieties of Democracy (V-Dem) Project. Report. https://www.v-dem.net/documents/70/codebook_v16.pdf.
Coppedge, Michael, and Wolfgang H. Reinicke. 1990. “Measuring Polyarchy.” Studies in Comparative International Development 25(1): 51–72.
Doorenspleet, Renske. 2000. “Reassessing the Three Waves of Democratization.” World Politics 52(03): 384–406. doi:10.1017/S0043887100016580.
Freedom House. 2025. Freedom in the World 2025: The Uphill Battle to Safeguard Rights. Freedom House.
Gasiorowski, Mark. 1996. “An Overview of the Political Regime Change Dataset.” Comparative Political Studies 29(4): 469–83. doi:10.1177/0010414096029004004.
Geddes, Barbara, Joseph Wright, and Erica Frantz. 2014. “Autocratic Breakdown and Regime Transitions: A New Data Set.” Perspectives on Politics 12(1): 313–31. doi:10.1017/S1537592714000851.
Goldstone, Jack, Robert Bates, David Epstein, Ted Gurr, Michael Lustik, Monty Marshall, Jay Ulfelder, and Mark Woodward. 2010. “A Global Model for Forecasting Political Instability.” American Journal of Political Science 54(1): 190–208. doi:10.1111/j.1540-5907.2009.00426.x.
Gründler, Klaus, and Tommy Krieger. 2021/05/17/. “Using Machine Learning for Measuring Democracy: A Practitioners Guide and a New Updated Dataset for 186 Countries from 1919 to 2019.” European Journal of Political Economy: 102047. doi:10.1016/j.ejpoleco.2021.102047.
Gründler, Klaus, and Tommy Krieger. 2016. “Democracy and Growth: Evidence from a Machine Learning Indicator.” European Journal of Political Economy 45: 85–107. doi:10.1016/j.ejpoleco.2016.05.005.
Gründler, Klaus, and Tommy Krieger. 2018. Machine Learning Indices, Political Institutions, and Economic Development. CESifo Group Munich. Report. https://dx.doi.org/10.2139/ssrn.3171982.
Hadenius, Axel. 1992. Democracy and Development. New York: Cambridge University Press.
Hsu, Sara. 2008. “The Effect of Political Regimes on Inequality, 1963-2002.” UTIP Working Paper (53).
Kailitz, Steffen. 2013. “Classifying Political Regimes Revisited: Legitimation and Durability.” Democratization 20(1): 39–60.
Kailitz, Steffen. 2026. “Varieties of Political Regimes (Va-PoReg). Dataset. Version 3.2.”
Kaufmann, Daniel, and Aart Kraay. 2020. “Worldwide Governance Indicators.” http://www.govindicators.org.
Magaloni, Beatriz, Jonathan Chu, and Eric Min. 2013. “Autocracies of the World, 1950-2012 (Version 1.0).” https://dx.doi.org/10.2139/ssrn.4346003.
Mainwaring, Scott, Aníbal Pérez-Liñán, and Daniel Brinks. 2014. “Political Regimes in Latin America, 1900-2007 (with Daniel Brinks).” In Democracies and Dictatorships in Latin America: Emergence, Survival, and Fall, New York: Cambridge University Press. https://web.archive.org/web/20120119050029/http://kellogg.nd.edu/scottmainwaring/Political_Regimes.pdf.
Márquez, Xavier. 2016. “A Quick Method for Extending the Unified Democracy Scores.” Available at SSRN 2753830. doi:10.2139/ssrn.2753830.
Marshall, Monty G., and Ted Robert Gurr. 2020. Polity 5: Political Regime Characteristics and Transitions, 1800-2018. Dataset Users’ Manual. Center for Systemic Peace. manual.
Marshall, Monty G., Ted Robert Gurr, and Keith Jaggers. 2019. Polity IV Project: Political Regime Characteristics and Transitions, 1800-2018. Dataset Users’ Manual. Center for Systemic Peace. manual.
Moon, Bruce E., Jennifer Harvey Birdsall, Sylvia Ciesluk, Lauren M. Garlett, Joshua J. Hermias, Elizabeth Mendenhall, Patrick D. Schmid, and Wai Hong Wong. 2006. “Voting Counts: Participation in the Measurement of Democracy.” Studies in Comparative International Development 41(2): 3–32. doi:10.1007/BF02686309.
Munck, Gerardo. 2009. Measuring Democracy: A Bridge Between Scholarship and Politics. Baltimore: The Johns Hopkins University Press.
Pemstein, Daniel, Stephen A. Meserve, and James Melton. 2013. “Replication Data for: Democratic Compromise: A Latent Variable Analysis of Ten Measures of Regime Type.” doi:10.7910/DVN/WWYOHU.
Pemstein, Daniel, Stephen Meserve, and James Melton. 2010. “Democratic Compromise: A Latent Variable Analysis of Ten Measures of Regime Type.” Political Analysis 18(4): 426–49. doi:10.1093/pan/mpq020.
Przeworski, Adam. 2013. “Political Institutions and Political Events (PIPE) Data Set.” https://sites.google.com/a/nyu.edu/adam-przeworski/home/data.
Reich, G. 2002. “Categorizing Political Regimes: New Data for Old Problems.” Democratization 9(4): 1–24. doi:10.1080/714000289.
Skaaning, Svend-Erik, John Gerring, and Henrikas Bartusevičius. 2015. “A Lexical Index of Electoral Democracy.” Comparative Political Studies 48(12): 1491–1525. doi:10.1177/0010414015581050.
Svolik, Milan. 2012. The Politics of Authoritarian Rule. Cambridge; New York: Cambridge University Press.
Taylor, Sean J., and Jay Ulfelder. 2015. “A Measurement Error Model of Dichotomous Democracy Status.” Available at SSRN. doi:10.2139/ssrn.2726962.
The Economist Intelligence Unit. 2026. Democracy Index 2025: Democracy Stabilises After Eight Years of Decline. London: Economist Intelligence Unit. Report. https://www.eiu.com/n/campaigns/democracy-index-2025/.
Ulfelder, Jay. 2012. “Democracy/Autocracy Data Set.” doi:10.7910/DVN/M11WFC.
Vanhanen, Tatu. 2019. “Measures of Democracy 1810-2018 (Dataset). Version 8.0 (2019-06-17).” https://urn.fi/urn:nbn:fi:fsd:T-FSD1289.
Wahman, Michael, Jan Teorell, and Axel Hadenius. 2013. “Authoritarian Regime Types Revisited: Updated Data in Comparative Perspective.” Contemporary Politics 19(1): 19–34. doi:10.1080/13569775.2013.773200.